Monday, April 20, 2026
34.0°F

Commissioners table pay raise

Sasha Goldstein | Hagadone News Network | UPDATED 15 years, 7 months AGO
by Sasha Goldstein
| August 30, 2010 8:09 AM

POLSON - Concerns were voiced from frustrated citizens and county employees when the Lake County Compensation Board met last Wednesday morning. The board is composed of all three county commissioners, three elected county officials and two citizens and is an advisory board to the County Commissioners.

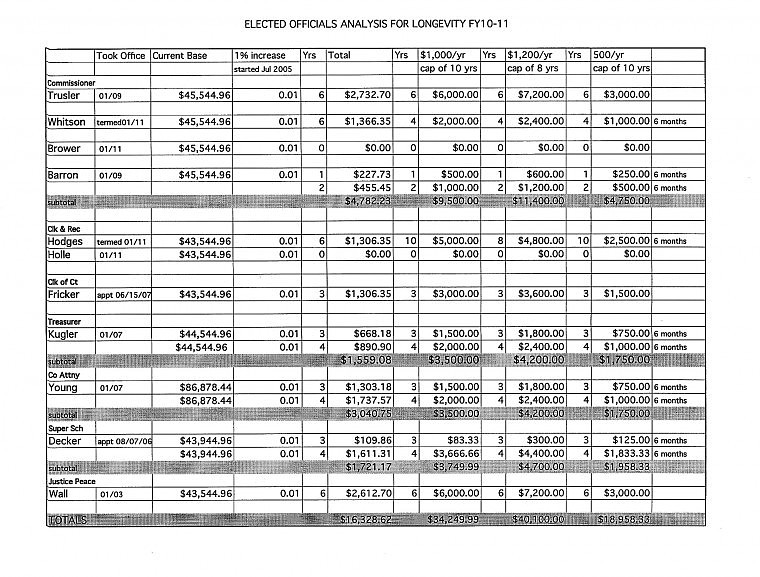
At issue during the annual meeting was a proposal from Commissioner Bill Barron to change elected officials' longevity compensation. The board meets annually but their June discussion, the original meeting, was tabled.

"We did talk about salaries and with salaries come issues of money and impact," Commissioner Paddy Trusler said.

Barron's proposal would pay elected county officials $1,200 per year of service, with a cap at eight years, in addition to their base salaries. The current format, which began in July 2005, gives the nine elected county officials a one percent increase, per service year, each year. Trusler, who has served six years and earns a $45,544.96 base salary, would earn $2,732.70 under the current format this year. Under Barron's proposal, Trusler would earn $7,200 this year.

The county's longest serving commissioner, Steve Hutchin, served four six-year terms for a total of 24 years of service, Barron said in an interview after the meeting. If Hutchin had earned the current one percent increase each year, he would have earned $10,930.79 in his 24th year, based on the current base salary. If he had served 24 years under Barron's proposal, he would have earned $9,600 each year, in addition to the base salary, from year eight of service to year 24.

"The longer you're here, the more history you have, the more you know, and I think you should be compensated for that," Barron said, acknowledging that Trusler and Commissioner Chuck Whitson have more experience and make his own job easier.

Barron said 26 other Class 1 Montana counties have a similar system. Other proposals included $1,000 a year with a cap of 10 years or $500 a year also with a cap of 10 years.

"It's hard for me because I'd be the biggest beneficiary if this goes through," Trusler said. "Does a newly elected official provide the same amount of public benefit as someone who's been here eight or 10 years? That is the question."

Groups of Lake County Sheriff's Office deputies and other county employees attended to hear about the proposal and many were vocal in their opposition to the increase.

"I think everybody here needs an increase in wages," LCSO Det. Mike Gehl said. "You already receive longevity and adding to that is not the solution."

Many of the people that spoke out said they believed that if elected officials should get an increase, so should county employees. While the commissioners didn't rule out county employees getting raises, Trusler did say that the topic was for a different time.

"The compensation board deals with elected officials, not employees," Trusler said.

Another important issue is the county budget, which has yet to be set for fiscal year 2010-2011. Revenue figures have yet to come in so many seemed wary of creating such an increase without referring to those numbers.

"We have to have a budget within 45 days of certified values," Trusler said. "We are going to budget based on 90 percent of certified values to gives us some leeway with alterations."

Trusler moved to table the meeting until a revenue report is available but if this meeting was any indication, it seems the next could be a contentious one.

ARTICLES BY SASHA GOLDSTEIN

January 1, 2011 10:48 p.m.

School Resource Officers tackle drugs in school

LAKE COUNTY — Drug citations on campus are up in schools countywide during the current school year, prompting some concern from administrators and teachers.

Different dances demonstrate diversity
January 24, 2011 9:38 a.m.

Different dances demonstrate diversity

PABLO — The tropical paradise of the Pacific Island region seemed a long way from Northwestern Montana last Wednesday, but musical group Tribal Waves brought sounds, not sunshine, from the area during Salish Kootenai College’s annual Diversity Fair.

RCC appoints new councilmember
January 18, 2011 5:05 p.m.

RCC appoints new councilmember

RONAN — The city council chose a new councilmember out of three candidates during Monday night’s regularly scheduled meeting.