Whitefish sued for 'racial profiling' during traffic stop
HAILEY SMALLEY | Hagadone News Network | UPDATED 8 months, 1 week AGO
The city of Whitefish is facing a lawsuit for the role a police officer played in the federal detainment of a Venezuelan man earlier this year.
Officer Michael Hingiss contacted United States Customs and Border Patrol agents while conducting a routine traffic stop because the driver, Beker Rengifo del Castillo, only spoke Spanish, according to the complaint filed Monday in federal court in Missoula. The suit claims video and audio recordings of the stop show Hingiss telling Border Patrol dispatch, “Just out with a male that only speaks Spanish, wondering if you want to check him."
At the traffic stop’s conclusion, Rengifo del Castillo was detained by Whitefish-based Border Patrol agents and transferred to the Northwest Immigration and Customs Enforcement Processing Center in Tacoma, Wash., where he was held for about a week before being released without charge.
While the Whitefish Police Department did not directly detain Rengifo del Castillo, the lawsuit argues that Hingiss’ actions catalyzed “a horrific and traumatic experience” in federal immigration custody. Rengifo del Castillo levels three counts against the officer for unconstitutional seizure, false arrest and violations of equal protection under the Fourteenth Amendment.
“You can’t detain someone just for being non-white and speaking Spanish, especially when they hand you a valid REAL ID,” said Andres Haladay, the attorney representing Rengifo del Castillo. “This apparent racial profiling violates both the Montana Constitution and the United States Constitution, and damages trust between community members and local law enforcement.”
An incident report released by the Whitefish Police Department indicated that Hingiss initiated the traffic stop at about 4:17 p.m., April 24 due to a broken taillight on Rengifo del Castillo’s vehicle. Hingiss reportedly followed Rengifo del Castillo and a coworker, who was driving a separate car, for about a mile from the pair’s job site near Whitefish City Beach before he “swung his vehicle into the oncoming northbound traffic lane, accelerated past Beker’s coworker and positioned himself directly behind Beker’s vehicle.”
Rengifo del Castillo handed Hingiss his REAL ID compliant driver’s license as well as proof of insurance and registration for the vehicle. Hingiss then returned to his patrol vehicle and contacted Border Patrol dispatch and reported that he had pulled over “a male that only speaks Spanish,” according to the lawsuit.
“The only objective facts available to Hingiss when he deferred pursuing the traffic stop to initiate an immigration investigation were that Beker is not white, speaks Spanish, and had a valid REAL ID compliant driver’s license establishing his lawful presence in the United States,” reads the lawsuit.
In his own narrative of the traffic stop, Hingiss noted a language barrier and that Rengifo del Castillo “appeared nervous.”
“Officer Hingiss requested a person check through U.S. Border Patrol Spokane Dispatch. Immigration violations have been an ongoing issue in Flathead County,” he wrote.
After contacting Border Patrol officials, Hingiss reportedly stayed in his patrol vehicle for 10-12 minutes, which Rengifo del Castillo argues was “more than enough time for Hingiss to write a written warning.” The lawsuit claims that, by delaying the traffic stop unnecessarily, Hingiss violated Rengifo del Castillo’s Fourth Amendment rights against unconstitutional seizure.
In 2015, the Supreme Court ruled that a traffic stop “become[s] unlawful it if is prolonged beyond the time reasonably required to complete the[e] mission of issuing a ticket for the violation.”
When a Border Patrol agent arrived on-scene, Hingiss handed over Rengifo del Castillo’s driver’s license and issued Rengifo del Castillo a written warning for the broken taillight. The Border Patrol agent subsequently arrested Rengifo del Castillo though court documents indicated he had told Hingiss that Rengifo del Castillo “might have legal status.”
Originally from Venezuela, Rengifo del Castillo moved to the Flathead Valley in July 2024 under a two-year humanitarian parole program. While the Trump administration has repeatedly targeted the program for elimination, a federal court order blocked the termination of parolee’s legal status when Rengifo del Castillo was detained in late April.
Upper Seven Law, the Helena-based firm representing Rengifo del Castillo in the case, affirmed that Rengifo del Castillo also had a pending application for affirmative asylum. The firm stated that Rengifo del Castillo had never been subject to a federal detainer or order or removal nor did he have a criminal history. He had authorization to work in the U.S. and been issued a Social Security number.
“Beker experienced trauma, stress, anxiety, fear and confusion from being detained without basis. Because of this incident, Beker is reluctant to leave his home and attempts to avoid all contact with law enforcement, fearing he will again be detained and incarcerated based on discrimination and without cause,” reads the lawsuit.
In addition to the counts against Hingiss, the lawsuit includes a count against Police Chief Bridger Kelch for failing to appropriately train officers in immigration violations. The city of Whitefish faces four counts for unconstitutional seizure, negligence, false arrest and failure to train police officers.
According to Whitefish Police Department policies, all officers should receive training that includes “identifying civil versus criminal immigration violations” and “factors that may be considered in determining whether a criminal immigration offenses has been committed.”
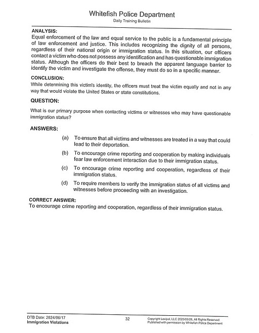
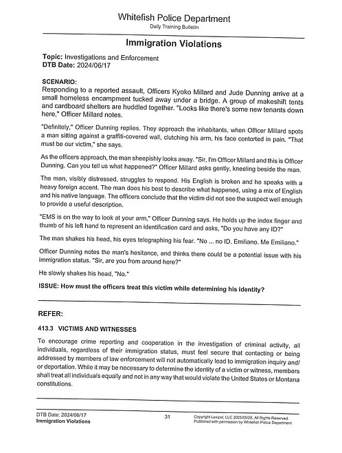
Records provided by the city of Whitefish to the Daily Inter Lake indicate that officers were issued training materials related to immigration violations four times between 2022 and 2024. Each training consisted of a single written scenario followed by one multiple-choice question. None of the scenarios focused on the difference between civil and criminal immigration violations or what factors may be considered in initiating a criminal immigration investigation.
Images of the relevant training materials are available in the online version of this story.
Upper Seven Law Firm filed the lawsuit Aug. 11. U.S. Magistrate Judge Kathleen DeSoto will preside over the case. A hearing as not yet been scheduled.
Reporter Hailey Smalley can be reached at 758-4433 or [email protected].
READ MORE:
As detainments ramp up, activists arm immigrants with knowledge
Law enforcement agencies respond to questions spawned by recent detention of Venezuelan immigrant
Border Patrol says detainment and release of immigrant in Whitefish justified
Venezuela man detained by Whitefish Border Patrol is released after week of protests
ARTICLES BY HAILEY SMALLEY
Thinning project on Big Mountain moves forward
Flathead National Forest approved a 200-acre fuels reduction project that may disrupt access to some trails on Big Mountain this summer.
Biologist reels in 36-year career with tribal fisheries program
Fisheries biologist Barry Hansen, 74, watched from a few feet away, arms crossed. He’s seen this same process unfold hundreds of thousands of times, but he can’t keep the pride from his voice as he holds up the finished product a few moments later.
State biologists seek answers to rut in South Fork elk numbers
When Franz Ingelfinger took over as the Kalispell area biologist for Montana Fish, Wildlife and Parks four years ago, he kept hearing the same suggestion from hunters and outfitters: Check out what’s happening in the South Fork Flathead River drainage.








